CÔNG TY CỔ PHẦN ĐỨC MẠNH
CÔNG TY CỔ PHẦN ĐỨC MẠNH
842363689379
https://ducmanhgroup.com/
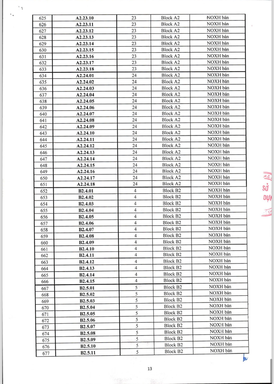
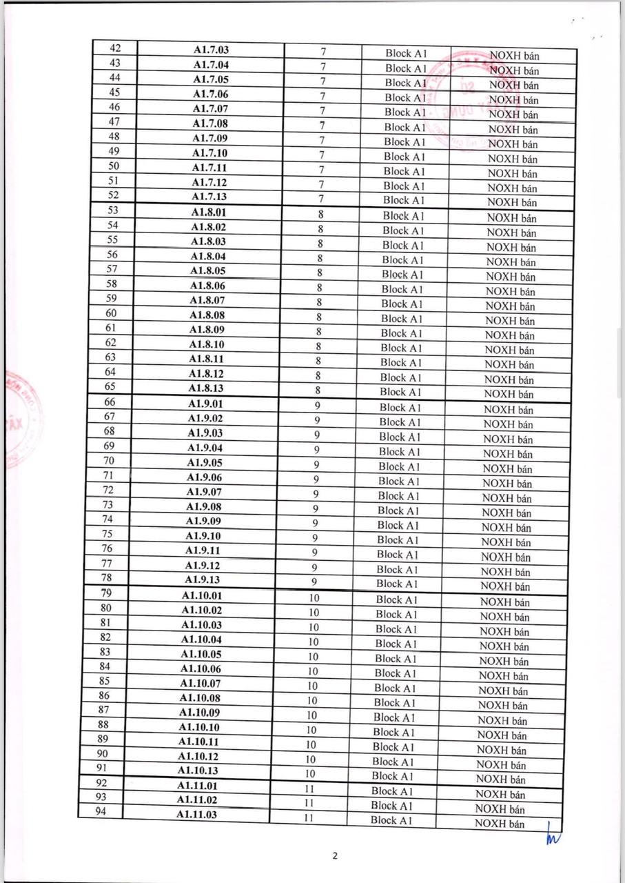
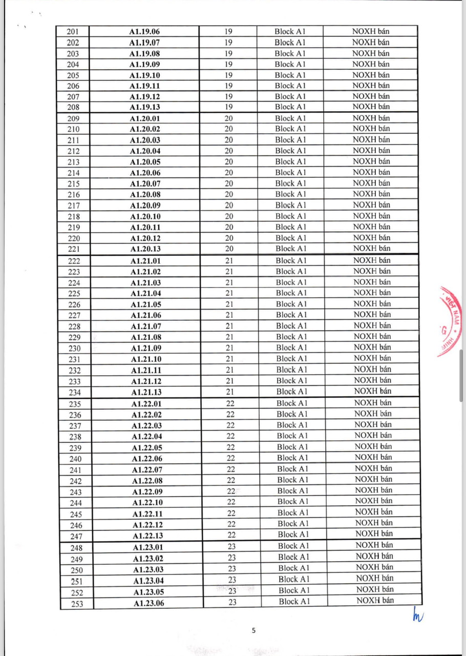
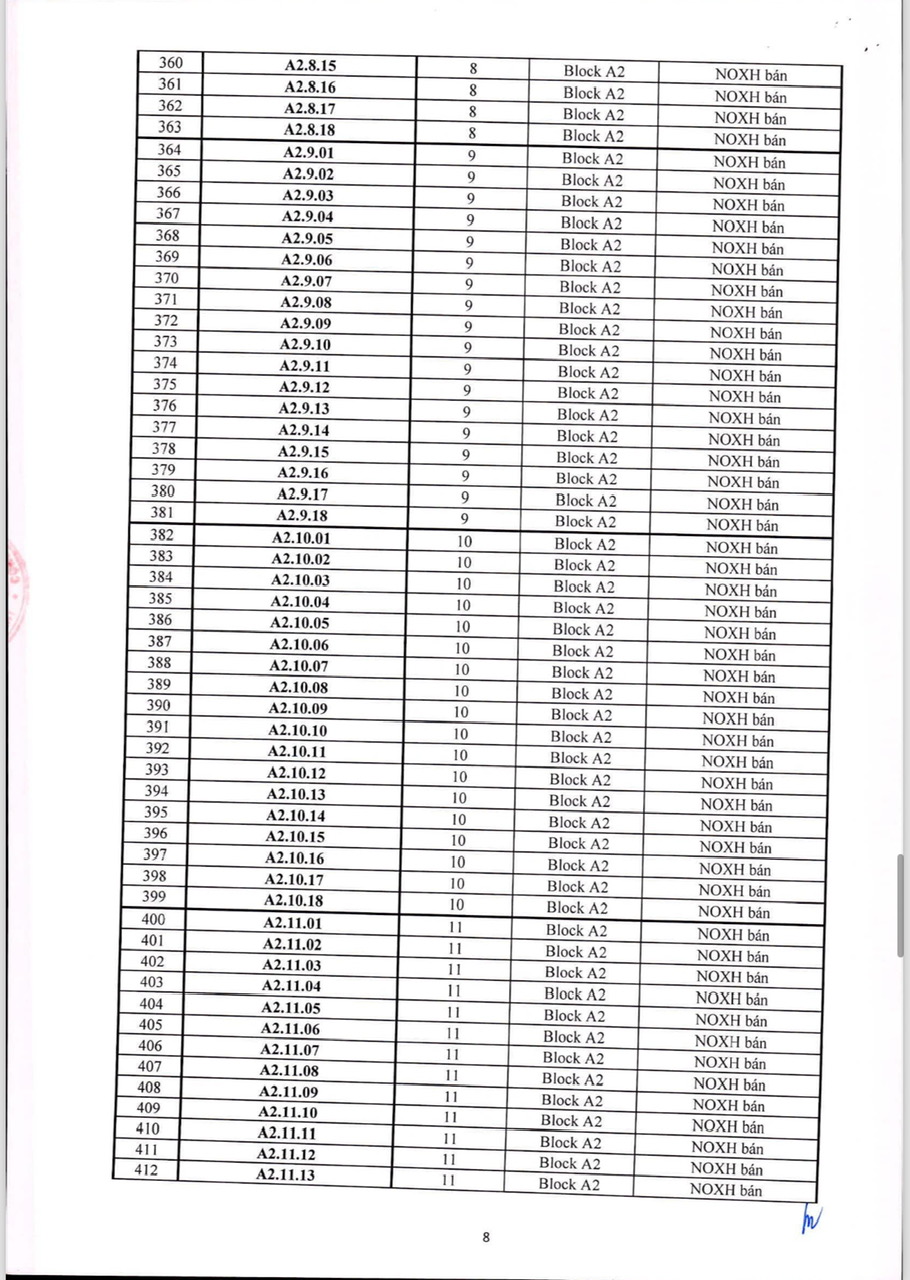
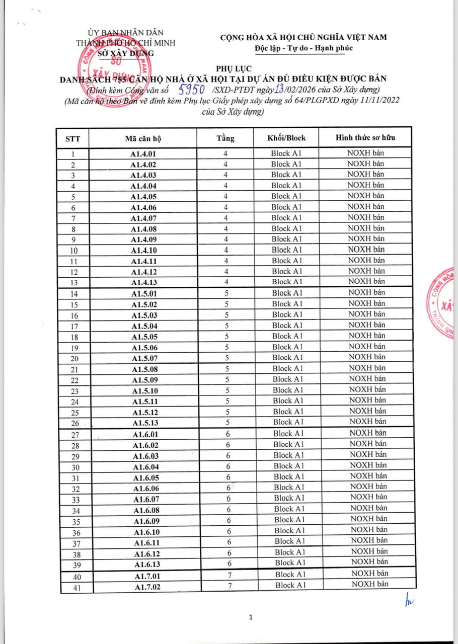
CÔNG BỐ CÔNG KHAI THÔNG TIN LIÊN QUAN ĐẾN DỰ ÁN NHÀ Ở XÃ HỘI LÝ THƯỜNG KIỆT.
Trang chủ
Giới thiệu
Vĩnh Trung Plaza
Văn phòng cho thuê
Trung Tâm Thương Mại
Bất động sản xây dựng
Vĩnh Trung Plaza Apartment
Vị trí đặt bảng quảng cáo
Vị trí tổ chức sự kiện
Dự án
Apartment
Tuyển dụng
Liên hệ
Trang chủ
Dự án
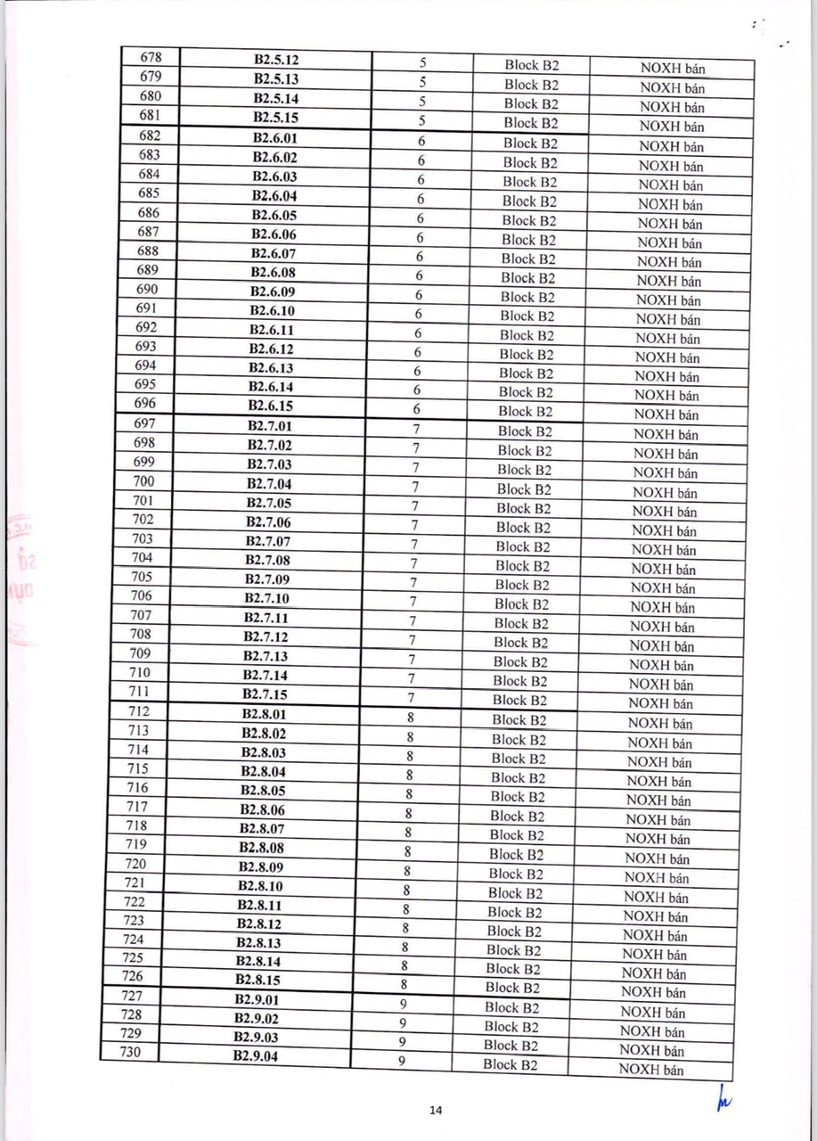
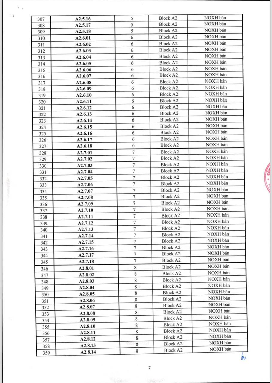
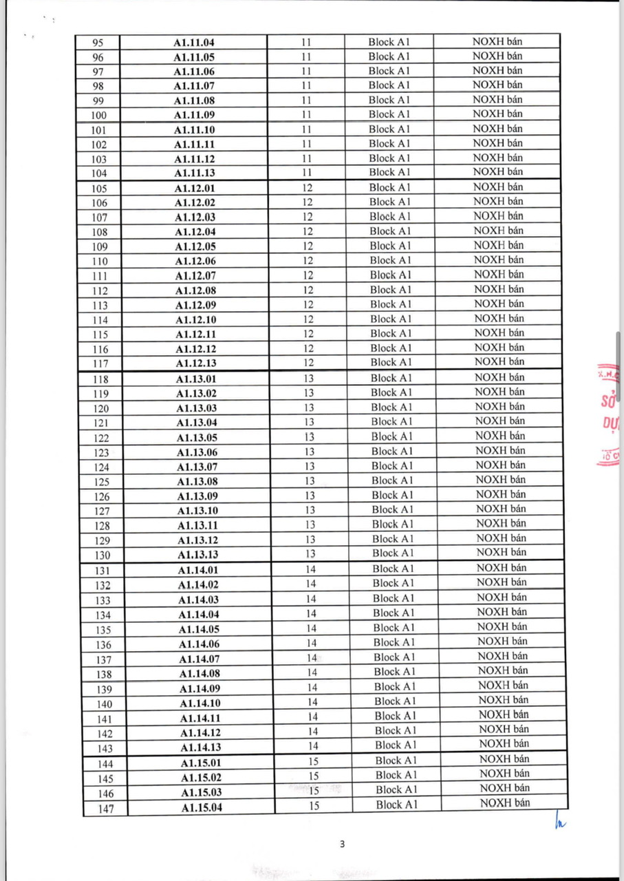
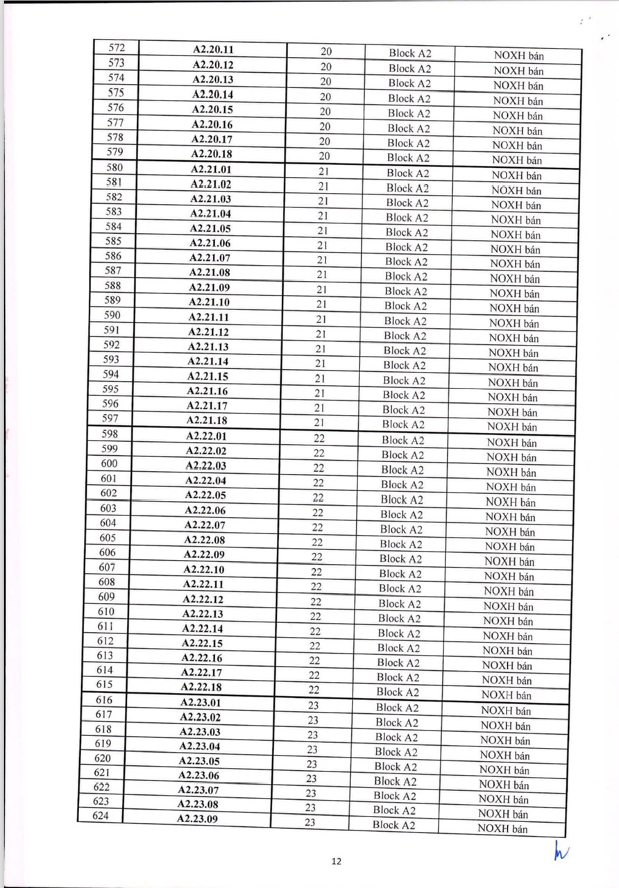
CÔNG BỐ CÔNG KHAI THÔNG TIN LIÊN QUAN ĐẾN DỰ ÁN NHÀ Ở XÃ HỘI LÝ THƯỜNG KIỆT.
CÔNG BỐ CÔNG KHAI THÔNG TIN LIÊN QUAN ĐẾN DỰ ÁN NHÀ Ở XÃ HỘI LÝ THƯỜNG KIỆT.
Ngày đăng 08/03/2026 10:16 AM
Bài viết khác:
CÔNG BỐ CÔNG KHAI THÔNG TIN LIÊN QUAN ĐẾN DỰ ÁN NHÀ Ở XÃ HỘI LÝ THƯỜNG KIỆT.
THÔNG BÁO Về việc mở bán nhà ở xã hội tại Khối nhà A, B thuộc dự án Chung cư cho người thu nhập thấp tại khu dân cư An Trung 2
DỰ ÁN VĨNH TRUNG PLAZA
DỰ ÁN NHÀ Ở XÃ HỘI LÝ THƯỜNG KIỆT (PHÚ THỌ DMC)
DỰ ÁN NHÀ Ở XÃ HỘI ĐẠI ĐỊA BẢO
DỰ ÁN NHÀ Ở XÃ HỘI AN TRUNG 2
Copyright © 2024 Đức Mạnh Group | Design by Blueweb.com.vn
(+84) 2363. 689. 379
Thông báo
×
Giỏ hàng của bạn
×
XEM NHANH SẢN PHẨM
×
Chat with us
, powered by
LiveChat